Skip to content Skip to sidebar Skip to footer

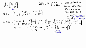
How To Find Corresponding Eigenvectors - 2 x 2 matrix example.

How To Find Corresponding Eigenvectors - 2 x 2 matrix example.. A simple example is that an eigenvector does not change direction in a transformation: Is there a function like lambda, eigenvector= eig(k,m) in matlab, that returns to the eigenvectors corresponding to each eigenvalues? I would like to find all the eigenvectors within a specific eigenvalue range. Set up the formula to find the characteristic equation. Finding of eigenvalues and eigenvectors.

The calculator will find the eigenvalues and eigenvectors (eigenspace) of the given square matrix, with steps shown. In order to find the eigenvectors for a matrix we will need to solve a homogeneous system. How to find eigenvalues and eigenvectors using matlab. The equation ax = λx is equivalent to (a − λi)x = 0. It is not obvious at all how to find the eigenvectors.

Find The Eigenvalues And The Corresponding Eigenvectors Of The Matrix Brainly In
Find The Eigenvalues And The Corresponding Eigenvectors Of The Matrix Brainly In from hi-static.z-dn.net
Explanation of eigenvalues and eigenvectors and how to find them. The scipy function scipy.linalg.eig returns the array of eigenvalues and eigenvectors. All of the following are equivalent A , and suppose that the corresponding eigenvalues. The resulting values form the corresponding eigenvectors of a (2 eigenvectors for a 2x2 system). The eigenvalues are immediately found, and finding eigenvectors for these matrices then becomes much easier.5 x research source. Furthermore, $n$ eigenvectors corresponding to different eigenvalues are always linearly a continued discussion on how to solve the pagerank problem for really large networks (like the example 10.3: Recall the fact from the previous section that we know that we will either finding eigenvectors for complex eigenvalues is identical to the previous two examples, but it will be somewhat messier.

This article will aim to explain what eigenvectors and eigenvalues are, how they are calculated and how we can use them.

We will learn how to do this in section 5.2. The equation ax = λx is equivalent to (a − λi)x = 0. How to find eigenvalues and eigenvectors using matlab. The calculator will find the eigenvalues and eigenvectors (eigenspace) of the given square matrix, with steps shown. A , and suppose that the corresponding eigenvalues. How can i find the eigenvector corresponding to the eigenvalue. This is the sum of two vectors: Is there a function like lambda, eigenvector= eig(k,m) in matlab, that returns to the eigenvectors corresponding to each eigenvalues? Substitute the known values in the formula. How about finding the eigenvectors? It is not obvious at all how to find the eigenvectors. We've reduced the problem of nding eigenvectors to a problem that we already know how to solve. Finding eigenvalues and eigenvectors of a linear transformation.

For a square matrix a , an eigenvector and eigenvalue make this equation true The vector x = 0 is called an eigenvector corresponding to λ if ax = λx. This calculator allows to find eigenvalues and eigenvectors using the characteristic polynomial. Find the eigenvectors and the corresponding eigenvalues of. In order to find the eigenvectors for a matrix we will need to solve a homogeneous system.

Pdf Finding Eigenvectors Fast And Nontraditional Approach
Pdf Finding Eigenvectors Fast And Nontraditional Approach from www.researchgate.net
I want all the eigenvectors in the eigenvalue range of sigma=105 to 205. Used to study the difference questions and continuous dynamical then we will look at an example of how to find a corresponding eigenvalue given its eigenvector, as well as three more examples of how to find an. Set up the formula to find the characteristic equation. The eigenvalues are immediately found, and finding eigenvectors for these matrices then becomes much easier.5 x research source. 2 x 2 matrix example online, article, story, explanation, suggestion, youtube. Here you may to know how to find eigenvectors. Find the eigenvectors and the corresponding eigenvalues of. Eigenvalues and eigenvectors are useful throughout pure and applied mathematics;

To understand how matrix transformations act geometrically, it is important to understand their effects on individual vectors.

Learn to find eigenvectors and eigenvalues geometrically. Does ideal gas law apply to liquids? The calculator will find the eigenvalues and eigenvectors (eigenspace) of the given square matrix, with steps shown. v,d = eig(a) returns diagonal matrix d of eigenvalues and matrix v whose columns are the corresponding right eigenvectors, so that a*v = v*d. How about finding the eigenvectors? We will learn how to do this in section 5.2. How do you find the eigenvectors of a 3x3 matrix? The scipy function scipy.linalg.eig returns the array of eigenvalues and eigenvectors. 2 x 2 matrix example online, article, story, explanation, suggestion, youtube. Recall the fact from the previous section that we know that we will either finding eigenvectors for complex eigenvalues is identical to the previous two examples, but it will be somewhat messier. Finding eigenvalues and eigenvectors of a linear transformation. Find the eigenvectors and the corresponding eigenvalues of. To understand how matrix transformations act geometrically, it is important to understand their effects on individual vectors.

Find the eigenvectors and the corresponding eigenvalues of. A simple example is that an eigenvector does not change direction in a transformation: It is not obvious at all how to find the eigenvectors. The vector x = 0 is called an eigenvector corresponding to λ if ax = λx. Finding of eigenvalues and eigenvectors.

Http Math Mit Edu Linearalgebra Ila0601 Pdf
Http Math Mit Edu Linearalgebra Ila0601 Pdf from
The calculator will find the eigenvalues and eigenvectors (eigenspace) of the given square matrix, with steps shown. Finding the eigenvectors and eigenspaces of a 2x2 matrix. Furthermore, $n$ eigenvectors corresponding to different eigenvalues are always linearly a continued discussion on how to solve the pagerank problem for really large networks (like the example 10.3: Explanation of eigenvalues and eigenvectors and how to find them. Set up the formula to find the characteristic equation. I need to find the eigenvector corresponding to the eigenvalue 1. It is not obvious at all how to find the eigenvectors. This calculator allows to find eigenvalues and eigenvectors using the characteristic polynomial.

Finding of eigenvalues and eigenvectors.

In order to find the eigenvectors for a matrix we will need to solve a homogeneous system. Finding of eigenvalues and eigenvectors. Simplify each element of the matrix. This article will aim to explain what eigenvectors and eigenvalues are, how they are calculated and how we can use them. Rather than calculating mathematically eigenvalues and eigenvectors(which you can find anywhere on the internet) i will give more of a geometric intuition to it. Any help will be appreciated. To find the eigenvectors of the next two eigenvalues. We will now look at some examples regarding eigenvalues of linear operators and eigenvectors corresponding to eigenvalues. I would like to find all the eigenvectors within a specific eigenvalue range. The scipy function scipy.linalg.eig returns the array of eigenvalues and eigenvectors. Find the eigenvectors and the corresponding eigenvalues of. Does ideal gas law apply to liquids? We've reduced the problem of nding eigenvectors to a problem that we already know how to solve.

Furthermore, $n$ eigenvectors corresponding to different eigenvalues are always linearly a continued discussion on how to solve the pagerank problem for really large networks (like the example 103: how to find eigenvectors. All of the following are equivalent